(2,0 điểm): 1) Hòa tan hoàn toàn 6,4g hỗn hợp gồm kim loại R(chỉ có hóa trị II) và oxit của nó
(2,0 điểm):
1) Hòa tan hoàn toàn 6,4g hỗn hợp gồm kim loại R(chỉ có hóa trị II) và oxit của nó vừa đủ 400 ml dung dịch HCl 1M. Xác định kim loại R.
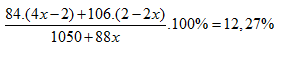
2) Tính khối lượng glucozo lên men rượu, biết rằng khi cho toàn bộ sản phẩm khí hấp thụ hoàn toàn vào 1 lit dung dịch NaOH 2M (D = 1,05g/ml) thì thu được dung dịch hỗn hợp hai muối có tổng nồng độ phần trăm là 12,27%. Biết hiệu suất của quá trình lên men là 70%.
Quảng cáo
>> Học trực tuyến lớp 9 và Lộ trình UP10 trên Tuyensinh247.com Đầy đủ khoá học các bộ sách: Kết nối tri thức với cuộc sống; Chân trời sáng tạo; Cánh diều. Lộ trình học tập 3 giai đoạn: Học nền tảng lớp 9, Ôn thi vào lớp 10, Luyện Đề. Bứt phá điểm lớp 9, thi vào lớp 10 kết quả cao. Hoàn trả học phí nếu học không hiệu quả. PH/HS tham khảo chi tiết khoá học tại: Link
![]() |
![]() |
![]() |
![]() |
![]() |
![]() |
Hỗ trợ - Hướng dẫn
-
024.7300.7989
-
1800.6947
(Thời gian hỗ trợ từ 7h đến 22h)
Email: lienhe@tuyensinh247.com











