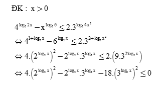
Tập nghiệm của bất phương trình \({4^{{{\log }_2}2x}} - {x^{{{\log }_2}6}} \le {2.3^{{{\log }_2}4{x^2}}}\)
Tập nghiệm của bất phương trình \({4^{{{\log }_2}2x}} - {x^{{{\log }_2}6}} \le {2.3^{{{\log }_2}4{x^2}}}\) có dạng \(\left[ {a; + \infty } \right)\), khi đó phương trình \({x^2} - x + a = 0\) có mấy nghiệm ?
Đáp án đúng là: B
Quảng cáo
Sử dụng công thức \({a^{{{\log }_b}c}} = {c^{{{\log }_b}a}}\) (giả sử các biểu thức là có nghĩa)
Đặt \(\left\{ \begin{array}{l}u = {2^{{{\log }_2}x}}\\v = {3^{{{\log }_2}x}}\end{array} \right.\,\,\,\left( {u,v > 0} \right),\) đưa bất phương trình về bất phương trình tích hai ẩn u, v. Giải tìm mối quan hệ giữa u, v.
Thay ngược lại \(\left\{ \begin{array}{l}u = {2^{{{\log }_2}x}}\\v = {3^{{{\log }_2}x}}\end{array} \right.\) tìm x.
Đáp án cần chọn là: B
>> 2K8 Chú ý! Lộ Trình Sun 2026 - 3IN1 - 1 lộ trình ôn 3 kì thi (Luyện thi 26+ TN THPT, 90+ ĐGNL HN, 900+ ĐGNL HCM, 70+ ĐGTD - Click xem ngay) tại Tuyensinh247.com.Đầy đủ theo 3 đầu sách, Thầy Cô giáo giỏi, luyện thi theo 3 giai đoạn: Nền tảng lớp 12, Luyện thi chuyên sâu, Luyện đề đủ dạng đáp ứng mọi kì thi.
![]() |
![]() |
![]() |
![]() |
![]() |
![]() |
![]() |
![]() |
Hỗ trợ - Hướng dẫn
-
024.7300.7989
-
1800.6947
(Thời gian hỗ trợ từ 7h đến 22h)
Email: lienhe@tuyensinh247.com












