Chọn đáp án đúng nhất:
Chọn đáp án đúng nhất:
Trả lời cho các câu 1, 2, 3 dưới đây:
Thực hiện các phép tính sau:
a) \(\left( {x - 3} \right)\left( {2x + 5} \right)\)
b) \(\left( {9{x^2}{y^3} + 18{x^2}{y^2} - 3x{y^2}} \right):9x{y^2}\)
Đáp án đúng là: B
Nhân và chia đa thức, đặt nhân tử chung.
Đáp án cần chọn là: B
Rút gọn biểu thức \(M = \left( {x + 1} \right)\left( {{x^2} - x + 1} \right) - \left( {{x^3} - 9} \right).\)
Đáp án đúng là: B
Sử dụng hằng đẳng thức.
Đáp án cần chọn là: B
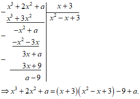
Tìm số thực \(a\) để đa thức \({x^3} + 2{x^2} + a\) chia hết cho đa thức \(x + 3.\)
Đáp án đúng là: A
Phân tích đa thức, dùng tính chất của phép chia hết (có dư bằng 0).
Đáp án cần chọn là: A
Quảng cáo
>> Học trực tuyến lớp 8 trên Tuyensinh247.com. Đầy đủ khoá học các bộ sách: Kết nối tri thức với cuộc sống; Chân trời sáng tạo; Cánh diều. Cam kết giúp học sinh lớp 8 học tốt, hoàn trả học phí nếu học không hiệu quả. PH/HS tham khảo chi tiết khoá học tại: Link
![]() |
![]() |
![]() |
![]() |
![]() |
![]() |
Hỗ trợ - Hướng dẫn
-
024.7300.7989
-
1800.6947
(Thời gian hỗ trợ từ 7h đến 22h)
Email: lienhe@tuyensinh247.com










