Cho hàm số \(f\left( x \right) = \left( {{x^2} - m} \right)\left| {x - 2} \right| + \left( {m + 6} \right)x -
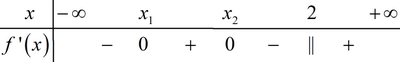
Cho hàm số \(f\left( x \right) = \left( {{x^2} - m} \right)\left| {x - 2} \right| + \left( {m + 6} \right)x - 2{x^2}\) (\(m\) là tham số). Có bao nhiêu giá trị nguyên của tham số \(m\) để hàm số đã cho có 3 điểm cực trị?
Đáp án đúng là: A
Quảng cáo
Đáp án cần chọn là: A
>> 2K9 Chú ý! Lộ Trình Sun 2027 - 1 lộ trình ôn đa kỳ thi (TN THPT, ĐGNL (Hà Nội/ Hồ Chí Minh), ĐGNL Sư Phạm, ĐGTD, ĐGNL Bộ Công an, ĐGNL Bộ Quốc phòngTD - Click xem ngay) tại Tuyensinh247.com. Cập nhật bám sát bộ SGK mới, Thầy Cô giáo giỏi, 3 bước chi tiết: Nền tảng lớp 12; Luyện thi chuyên sâu; Luyện đề đủ dạng đáp ứng mọi kì thi.
![]() |
![]() |
![]() |
![]() |
![]() |
![]() |
![]() |
![]() |
Hỗ trợ - Hướng dẫn
-
024.7300.7989
-
1800.6947
(Thời gian hỗ trợ từ 7h đến 22h)
Email: lienhe@tuyensinh247.com













