Tìm giá trị nguyên của \(n\) để giá trị của biểu thức \(\left( {{n^3} - 2{n^2} + 3n + 3} \right)\)
Tìm giá trị nguyên của \(n\) để giá trị của biểu thức \(\left( {{n^3} - 2{n^2} + 3n + 3} \right)\) chia hết cho giá trị của biểu thức \(\left( {n - 1} \right)\).
Đáp án đúng là: A
Quảng cáo
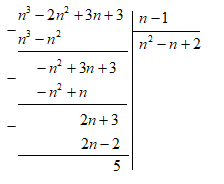
Thực hiện phép chia đa thức một biến đã sắp xếp.
Phép chia hết có dư bằng 0. Từ đó, ta giải tìm \(n.\)
Đáp án cần chọn là: A
>> Học trực tuyến lớp 8 trên Tuyensinh247.com. Đầy đủ khoá học các bộ sách: Kết nối tri thức với cuộc sống; Chân trời sáng tạo; Cánh diều. Cam kết giúp học sinh lớp 8 học tốt, hoàn trả học phí nếu học không hiệu quả. PH/HS tham khảo chi tiết khoá học tại: Link
![]() |
![]() |
![]() |
![]() |
![]() |
![]() |
Hỗ trợ - Hướng dẫn
-
024.7300.7989
-
1800.6947
(Thời gian hỗ trợ từ 7h đến 22h)
Email: lienhe@tuyensinh247.com











