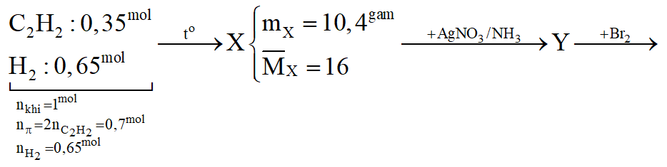
Trong một bình kín có chứa 0,35 mol C2H2 và 0,65 mol H2 và một ít bột Ni. Nung nóng bình một thời
Trong một bình kín có chứa 0,35 mol C2H2 và 0,65 mol H2 và một ít bột Ni. Nung nóng bình một thời gian thu được hỗn hợp khí X (có tỉ khối hơi so với He bằng 4). Dẫn X qua dung dịch AgNO3 trong NH3 đến khi phản ứng hoàn toàn thu được hỗn hợp khí Y và 24 gam kết tủa. Hỗn hợp Y tác dụng vừa đủ với bao nhiêu mol Br2 trong dung dịch?
Đáp án đúng là: B
Quảng cáo
Áp dụng phương pháp bảo toàn liên kết π.
Đáp án cần chọn là: B
>> 2K9 Chú ý! Lộ Trình Sun 2027 - 1 lộ trình ôn đa kỳ thi (TN THPT, ĐGNL (Hà Nội/ Hồ Chí Minh), ĐGNL Sư Phạm, ĐGTD, ĐGNL Bộ Công an, ĐGNL Bộ Quốc phòngTD - Click xem ngay) tại Tuyensinh247.com. Cập nhật bám sát bộ SGK mới, Thầy Cô giáo giỏi, 3 bước chi tiết: Nền tảng lớp 12; Luyện thi chuyên sâu; Luyện đề đủ dạng đáp ứng mọi kì thi.
![]() |
![]() |
![]() |
![]() |
![]() |
![]() |
![]() |
![]() |
Hỗ trợ - Hướng dẫn
-
024.7300.7989
-
1800.6947
(Thời gian hỗ trợ từ 7h đến 22h)
Email: lienhe@tuyensinh247.com













