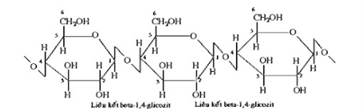
Cho carbohydrate X có cấu tạo như sau: Thủy phân hoàn toàn X thu được chất Y.
Cho carbohydrate X có cấu tạo như sau:

Thủy phân hoàn toàn X thu được chất Y. Chất Y có trong máu người trưởng thành, khỏe mạnh vào lúc đói với nồng độ khoảng 4,4 – 7,2 mmol/L (hay 80 – 130 mg/dL)
Cho các phát biểu sau:
| Đúng | Sai | |
|---|---|---|
| a) X có công thức phân tử (C6H10O5)n mỗi mắt xích của X chứa 5 nhóm -OH. |
||
| b) Chất Y có phản ứng lên men, tạo thành ethanol hoặc lactic acid. |
||
| c) Chất X có khả năng phản ứng với methanol khi có mặt HCl khan làm xúc tác. |
||
| d) Ethanol có thể được sản xuất từ carbohydrate X. Loại ethanol này được dùng để sản xuất xăng E5 (chứa 5% ethanol về thể tích). Lượng ethanol thu được từ 1 tấn mùn cưa (chứa 50% chất X, phần còn lại là chất trơ) có thể pha chế được 4262 lít xăng E5. Biết hiệu suất quá trình sản xuất ethanol từ X là 60% và ethanol có khối lượng riêng là 0,8 gam.mL-1. |
Đáp án đúng là: S; Đ; S; S
Quảng cáo
(a) Các đơn vị β-glucose qua liên kết β-1,4-glucoside cấu tạo nên cellulose.
(b) Chất Y có trong máu người trưởng thành nên Y là glucose. Glucose dưới tác dụng của các enzyme từ các vi sinh vật khác nhau tạo thành ethanol, lactic acid….
(c) Cellulose chỉ tham gia phản ứng thủy phân, với nitric acid và nước Schweizer.
(d) mcellulose = 50% mmùn cưa ⟶ ncellulose
${C_6}{H_{10}}{O_5}\xrightarrow[{enzyme}]{{ + {H_2}O}}{C_6}{H_{12}}{O_6}\xrightarrow{{enzyme}}2{C_2}{H_5}OH$
\({n_{{C_2}{H_2}OH}} = 2.{n_{cellulose}} \to {m_{{C_2}{H_5}OH}}\)
\({V_{{C_2}{H_5}OH}} = \frac{{{m_{{C_2}{H_5}OH}}}}{D} \to {V_{E5}} = \frac{{{V_{{C_2}{H_5}OH}}}}{{5\% }}\)
Đáp án cần chọn là: S; Đ; S; S
>> 2K9 Chú ý! Lộ Trình Sun 2027 - 1 lộ trình ôn đa kỳ thi (TN THPT, ĐGNL (Hà Nội/ Hồ Chí Minh), ĐGNL Sư Phạm, ĐGTD, ĐGNL Bộ Công an, ĐGNL Bộ Quốc phòngTD - Click xem ngay) tại Tuyensinh247.com. Cập nhật bám sát bộ SGK mới, Thầy Cô giáo giỏi, 3 bước chi tiết: Nền tảng lớp 12; Luyện thi chuyên sâu; Luyện đề đủ dạng đáp ứng mọi kì thi.
![]() |
![]() |
![]() |
![]() |
![]() |
![]() |
![]() |
![]() |
Hỗ trợ - Hướng dẫn
-
024.7300.7989
-
1800.6947
(Thời gian hỗ trợ từ 7h đến 22h)
Email: lienhe@tuyensinh247.com












