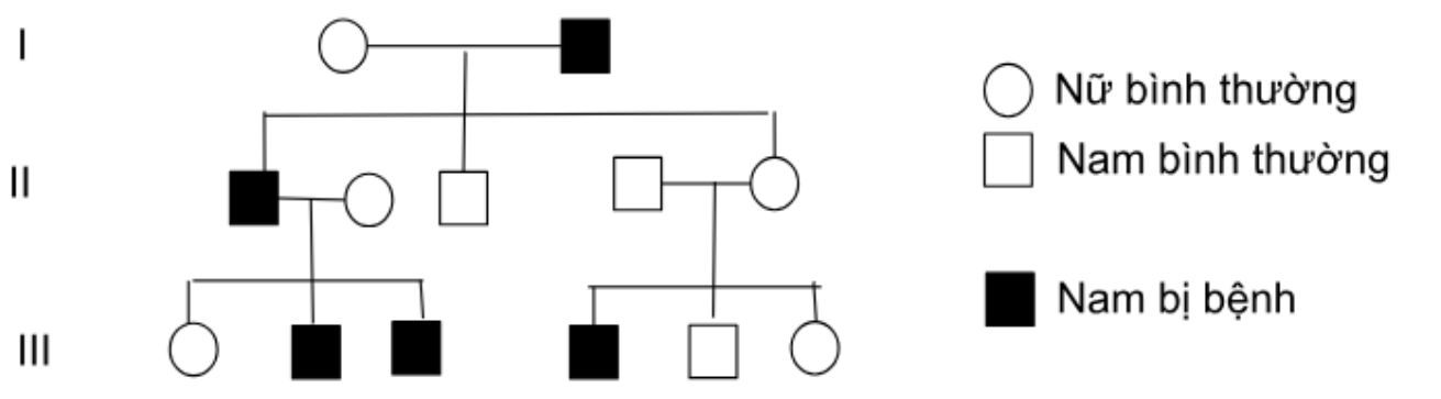
Cho phả hệ về một bệnh di truyền ở người: Người con gái số III1 lấy chồng không
Cho phả hệ về một bệnh di truyền ở người:

Người con gái số III1 lấy chồng không bị bệnh này thì xác suất đứa con đầu lòng không bị bệnh là bao nhiêu?
(Viết đáp án dưới dạng số thập phân)
Đáp án đúng là:
Quảng cáo
Bước 1: Quan sát toàn bộ phả hệ, lựa chọn cặp vợ chồng để suy ra bệnh cho gene trội hay lặn quy định, có liên kết giới tính hay không.
Bước 2: Dựa vào quan hệ huyết thống để xác định kiểu gene của vợ chồng sinh ra đứa con cần tính xác suất.
Bước 3: Tìm tỉ lệ của loại kiểu hình (hoặc kiểu gene) cần tính xác suất
Bước 4: Sử dụng toán tổ hợp để tính xác suất
Đáp án cần điền là: 0,75
>> 2K9 Chú ý! Lộ Trình Sun 2027 - 1 lộ trình ôn đa kỳ thi (TN THPT, ĐGNL (Hà Nội/ Hồ Chí Minh), ĐGNL Sư Phạm, ĐGTD, ĐGNL Bộ Công an, ĐGNL Bộ Quốc phòngTD - Click xem ngay) tại Tuyensinh247.com. Cập nhật bám sát bộ SGK mới, Thầy Cô giáo giỏi, 3 bước chi tiết: Nền tảng lớp 12; Luyện thi chuyên sâu; Luyện đề đủ dạng đáp ứng mọi kì thi.
![]() |
![]() |
![]() |
![]() |
![]() |
![]() |
![]() |
![]() |
Hỗ trợ - Hướng dẫn
-
024.7300.7989
-
1800.6947
(Thời gian hỗ trợ từ 7h đến 22h)
Email: lienhe@tuyensinh247.com













