Một tế bào sinh dục sơ khai có bộ NST 2n = 8 nguyên phân liên tiếp hai lần sau đó tiến hành
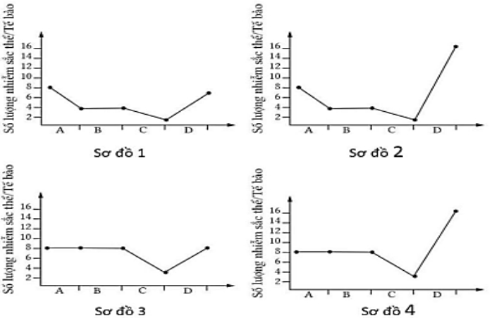
Một tế bào sinh dục sơ khai có bộ NST 2n = 8 nguyên phân liên tiếp hai lần sau đó tiến hành giảm phân. Tất cả các tế bào con tạo ra đều tham gia thụ tinh tạo thành hợp tử. Sơ đồ nào trong hình sau biểu thị sự thay đổi về số lượng NST trong mỗi tế bào phù hợp với từng thời điểm?
(Chú thích: A nguyên phân lần 1; B nguyên phân lần 2; C giảm phân; D thụ tinh tạo hợp tử)

Đáp án đúng là:
Quảng cáo
Nguyên phân (A, B): Là quá trình phân bào mà số lượng nhiễm sắc thể (NST) trong các tế bào con được giữ nguyên so với tế bào mẹ (2n). Với tế bào trong đề bài, số lượng NST sẽ duy trì ở mức 8.
Giảm phân (C): Trải qua hai lần phân bào liên tiếp nhưng NST chỉ nhân đôi một lần. Kết quả tạo ra các giao tử có số lượng NST giảm đi một nửa (n). Với tế bào này, số lượng NST sẽ giảm từ 8 xuống 4.
Thụ tinh (D): Là sự kết hợp giữa giao tử đực (n) và giao tử cái (n) để phục hồi bộ NST lưỡng bội (2n) cho hợp tử. Số lượng NST sẽ tăng từ 4 lên 8.
Đáp án cần điền là: 3
>> 2K9 Chú ý! Lộ Trình Sun 2027 - 1 lộ trình ôn đa kỳ thi (TN THPT, ĐGNL (Hà Nội/ Hồ Chí Minh), ĐGNL Sư Phạm, ĐGTD, ĐGNL Bộ Công an, ĐGNL Bộ Quốc phòngTD - Click xem ngay) tại Tuyensinh247.com. Cập nhật bám sát bộ SGK mới, Thầy Cô giáo giỏi, 3 bước chi tiết: Nền tảng lớp 12; Luyện thi chuyên sâu; Luyện đề đủ dạng đáp ứng mọi kì thi.
![]() |
![]() |
![]() |
![]() |
![]() |
![]() |
![]() |
![]() |
Hỗ trợ - Hướng dẫn
-
024.7300.7989
-
1800.6947
(Thời gian hỗ trợ từ 7h đến 22h)
Email: lienhe@tuyensinh247.com












