Nylon-6,6 có tính dai, bền, có thể kéo sợi dệt vải, làm dây cáp, dây dù, chỉ nha khoa,... Cấu
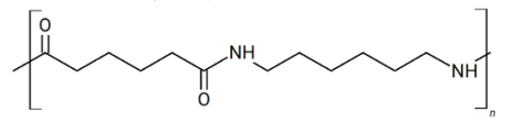
Nylon-6,6 có tính dai, bền, có thể kéo sợi dệt vải, làm dây cáp, dây dù, chỉ nha khoa,... Cấu trúc của nilon-6,6 được cho như sau:

Một loại vải chịu lực có thành phần chứa 100% nylon-6,6. Ở điều kiện không co dãn, khổ rộng của vải là 1 mét, định lượng vải (khối lượng vải trên một đơn vị diện tích) là 187,6 gam/m. Để sản xuất 10 000 m vải trên thì nguyên liệu ban đầu cần tối thiểu x kg hexamethylendiamine và tối thiểu y kg adipic acid (với hiệu suất là 90%). Giá trị nào sau đây gần nhất với tổng giá trị (x + y)?
Đáp án đúng là: C
Quảng cáo
Mét vải ⟹ Khối lượng nylon-6,6 ⟹ Khối lượng hexamethylendiamien, adipic acid.
Đáp án cần chọn là: C
>> 2K9 Chú ý! Lộ Trình Sun 2027 - 1 lộ trình ôn đa kỳ thi (TN THPT, ĐGNL (Hà Nội/ Hồ Chí Minh), ĐGNL Sư Phạm, ĐGTD, ĐGNL Bộ Công an, ĐGNL Bộ Quốc phòngTD - Click xem ngay) tại Tuyensinh247.com. Cập nhật bám sát bộ SGK mới, Thầy Cô giáo giỏi, 3 bước chi tiết: Nền tảng lớp 12; Luyện thi chuyên sâu; Luyện đề đủ dạng đáp ứng mọi kì thi.
![]() |
![]() |
![]() |
![]() |
![]() |
![]() |
![]() |
![]() |
Hỗ trợ - Hướng dẫn
-
024.7300.7989
-
1800.6947
(Thời gian hỗ trợ từ 7h đến 22h)
Email: lienhe@tuyensinh247.com












