Một nhóm học sinh thực hiện thí nghiệm xác định nhiệt nóng chảy riêng $\lambda$ của nước
Một nhóm học sinh thực hiện thí nghiệm xác định nhiệt nóng chảy riêng $\lambda$ của nước đá theo các bước:
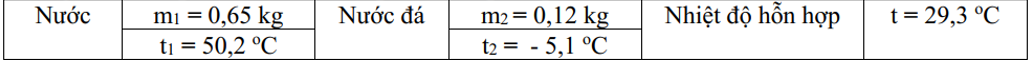
+ Bước 1: Dùng một bình cách nhiệt có chứa $m_{1}$ (kg) nước; lấy một số viên nước đá có tổng khối lượng $m_{2}$ (kg) từ tủ lạnh; đo nhiệt độ ban đầu của nước trong bình ($t_{1}$) và nhiệt độ ban đầu của nước đá ($t_{2}$) bằng nhiệt kế.
+ Bước 2: Cho các viên nước đá vào bình cách nhiệt.
+ Bước 3: Khuấy đều hỗn hợp nước và nước đá cho đến khi nước đá tan hoàn toàn, đo nhiệt độ cuối cùng ($t$) của hỗn hợp.
Các kết quả đo lường được học sinh đó ghi lại trong bảng sau:

Cho nhiệt dung riêng của nước và nước đá lần lượt là $c_{1} = 4200J/kg.K$ và $c_{2} = 2100J/kg.K$.
| Đúng | Sai | |
|---|---|---|
| a) Nhiệt lượng được truyền từ nước sang nước đá. | ||
| b) Nhiệt lượng cần thiết cung cấp cho khối nước đá tan hoàn toàn là 1285,2 J. | ||
| c) Bỏ qua sự trao đổi nhiệt với môi trường và với bình. Nhiệt nóng chảy riêng của nước đá đo được theo thí nghiệm trên là $3,6.10^{5}J/kg$. | ||
| d) Giả sử phần hao phí do truyền nhiệt cho bình và môi trường bằng $5\%$ nhiệt lượng mà nước tỏa ra. Nhiệt nóng chảy riêng của nước đá đo được theo thí nghiệm trên là $3,2.10^{5}J/kg$. |
Đáp án đúng là: Đ; S; S; S
Quảng cáo
Nhiệt lượng được truyền từ vật có nhiệt độ cao sang vật có nhiệt độ thấp
Nhiệt lượng nóng chảy: $Q = m\lambda$
Nhiệt lượng: $Q = mc\Delta t$
Phương trình cân bằng nhiệt: $Q_{toa} = Q_{thu}$
Đáp án cần chọn là: Đ; S; S; S
>> 2K9 Chú ý! Lộ Trình Sun 2027 - 1 lộ trình ôn đa kỳ thi (TN THPT, ĐGNL (Hà Nội/ Hồ Chí Minh), ĐGNL Sư Phạm, ĐGTD, ĐGNL Bộ Công an, ĐGNL Bộ Quốc phòngTD - Click xem ngay) tại Tuyensinh247.com. Cập nhật bám sát bộ SGK mới, Thầy Cô giáo giỏi, 3 bước chi tiết: Nền tảng lớp 12; Luyện thi chuyên sâu; Luyện đề đủ dạng đáp ứng mọi kì thi.
![]() |
![]() |
![]() |
![]() |
![]() |
![]() |
![]() |
![]() |
Hỗ trợ - Hướng dẫn
-
024.7300.7989
-
1800.6947
(Thời gian hỗ trợ từ 7h đến 22h)
Email: lienhe@tuyensinh247.com












