Đặt điện áp xoay chiều có giá trị hiệu dụng 60V vào hai đầu đoạn mạch R, L, C mắc nối
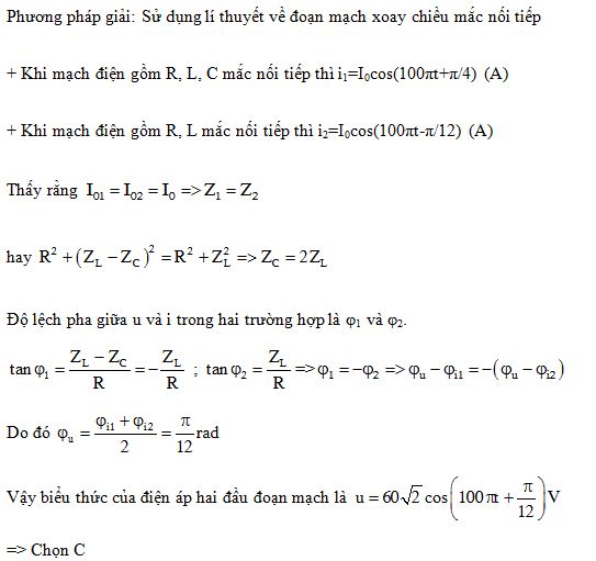
Đặt điện áp xoay chiều có giá trị hiệu dụng 60V vào hai đầu đoạn mạch R, L, C mắc nối tiếp thì cường độ dòng điện qua đoạn mạch là i1=I0cos(100πt+π/4) (A). Nếu ngắt bỏ tụ điện C thì cường độ dòng điện qua đoạn mạch là i2=I0cos(100πt-π/12) (A). Điện áp hai đầu đoạn mạch là
Đáp án đúng là: C
Quảng cáo
Đáp án cần chọn là: C
>> 2K9 Chú ý! Lộ Trình Sun 2027 - 1 lộ trình ôn đa kỳ thi (TN THPT, ĐGNL (Hà Nội/ Hồ Chí Minh), ĐGNL Sư Phạm, ĐGTD, ĐGNL Bộ Công an, ĐGNL Bộ Quốc phòngTD - Click xem ngay) tại Tuyensinh247.com. Cập nhật bám sát bộ SGK mới, Thầy Cô giáo giỏi, 3 bước chi tiết: Nền tảng lớp 12; Luyện thi chuyên sâu; Luyện đề đủ dạng đáp ứng mọi kì thi.
![]() |
![]() |
![]() |
![]() |
![]() |
![]() |
![]() |
![]() |
Hỗ trợ - Hướng dẫn
-
024.7300.7989
-
1800.6947
(Thời gian hỗ trợ từ 7h đến 22h)
Email: lienhe@tuyensinh247.com












