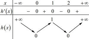
Cho hàm số \(y = \left| {{x^4} - 4{x^3} + 4{x^2} + m} \right|\) (\(m\) là tham số). Khi \(m\) thay đổi thì
Cho hàm số \(y = \left| {{x^4} - 4{x^3} + 4{x^2} + m} \right|\) (\(m\) là tham số). Khi \(m\) thay đổi thì số điểm cực trị của hàm số có thể là \(a\) hoặc \(b\) hoặc \(c\). Tính \(abc\).
Đáp án đúng là: C
Quảng cáo
Đáp án cần chọn là: C
>> 2K8 Chú ý! Lộ Trình Sun 2026 - 3IN1 - 1 lộ trình ôn 3 kì thi (Luyện thi 26+ TN THPT, 90+ ĐGNL HN, 900+ ĐGNL HCM, 70+ ĐGTD - Click xem ngay) tại Tuyensinh247.com.Đầy đủ theo 3 đầu sách, Thầy Cô giáo giỏi, luyện thi theo 3 giai đoạn: Nền tảng lớp 12, Luyện thi chuyên sâu, Luyện đề đủ dạng đáp ứng mọi kì thi.
![]() |
![]() |
![]() |
![]() |
![]() |
![]() |
![]() |
![]() |
Hỗ trợ - Hướng dẫn
-
024.7300.7989
-
1800.6947
(Thời gian hỗ trợ từ 7h đến 22h)
Email: lienhe@tuyensinh247.com













