Chứng minh rằng:a) \(1.2 + 2.5 + 3.8 + ... + n\left( {3n - 1} \right) = {n^2}\left( {n + 1} \right),\,\,n \ge
Chứng minh rằng:
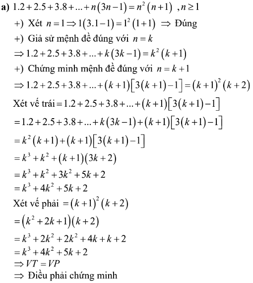
a) \(1.2 + 2.5 + 3.8 + ... + n\left( {3n - 1} \right) = {n^2}\left( {n + 1} \right),\,\,n \ge 1\)
b) \(1.2.3 + 2.3.4 + 3.4.5 + ... + n\left( {n + 1} \right)\left( {n + 2} \right) = \dfrac{{n\left( {n + 1} \right)\left( {n + 2} \right)\left( {n + 3} \right)}}{4},\,\,n \ge 1\)
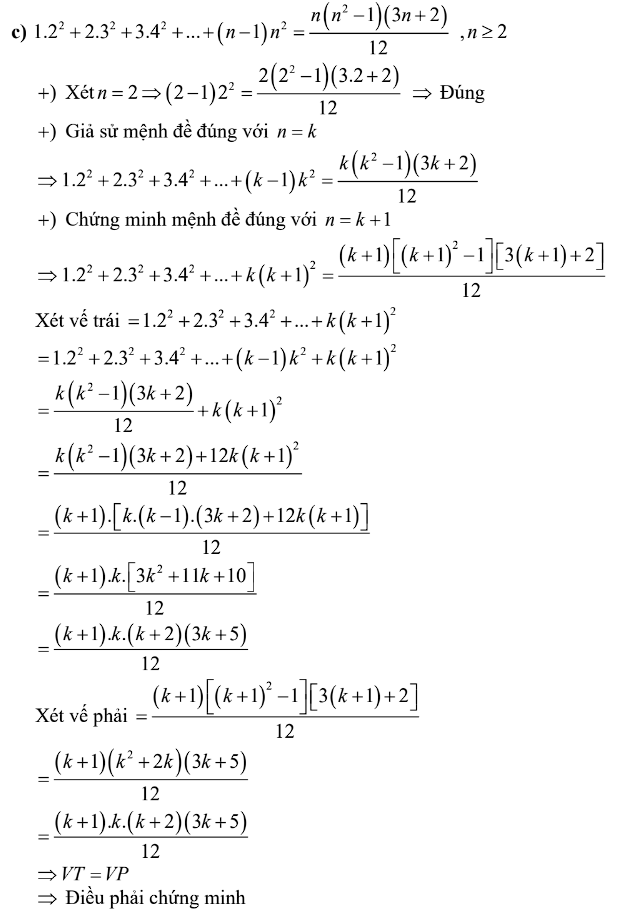
c) \({1.2^2} + {2.3^2} + {3.4^2} + ... + \left( {n - 1} \right).{n^2} = \dfrac{{n\left( {{n^2} - 1} \right)\left( {3n + 2} \right)}}{{12}},\,\,n \ge 2\)
d) \(\left( {1 - \dfrac{1}{4}} \right)\left( {1 - \dfrac{1}{9}} \right)\left( {1 - \dfrac{1}{{16}}} \right)...\left( {1 - \dfrac{1}{{{n^2}}}} \right) = \dfrac{{n + 1}}{{2n}},\,\,n \ge 2\)
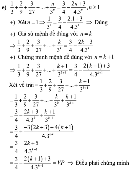
e) \(\dfrac{1}{3} + \dfrac{2}{9} + \dfrac{3}{{27}} + ... + \dfrac{n}{{{3^n}}} = \dfrac{3}{4} - \dfrac{{2n + 3}}{{{{4.3}^n}}},\,\,n \ge 1\).
Quảng cáo
>> 2K8 Chú ý! Lộ Trình Sun 2026 - 3IN1 - 1 lộ trình ôn 3 kì thi (Luyện thi 26+ TN THPT, 90+ ĐGNL HN, 900+ ĐGNL HCM, 70+ ĐGTD - Click xem ngay) tại Tuyensinh247.com.Đầy đủ theo 3 đầu sách, Thầy Cô giáo giỏi, luyện thi theo 3 giai đoạn: Nền tảng lớp 12, Luyện thi chuyên sâu, Luyện đề đủ dạng đáp ứng mọi kì thi.
![]() |
![]() |
![]() |
![]() |
![]() |
![]() |
![]() |
![]() |
Hỗ trợ - Hướng dẫn
-
024.7300.7989
-
1800.6947
(Thời gian hỗ trợ từ 7h đến 22h)
Email: lienhe@tuyensinh247.com

















