Phương trình, Bất PT và hệ PT mũ và lôgarit
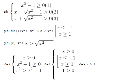
Giải phương trình :

Đáp án đúng là: A
Quảng cáo
Đáp án cần chọn là: A
>> 2K9 Chú ý! Lộ Trình Sun 2027 - 1 lộ trình ôn đa kỳ thi (TN THPT, ĐGNL (Hà Nội/ Hồ Chí Minh), ĐGNL Sư Phạm, ĐGTD, ĐGNL Bộ Công an, ĐGNL Bộ Quốc phòngTD - Click xem ngay) tại Tuyensinh247.com. Cập nhật bám sát bộ SGK mới, Thầy Cô giáo giỏi, 3 bước chi tiết: Nền tảng lớp 12; Luyện thi chuyên sâu; Luyện đề đủ dạng đáp ứng mọi kì thi.
![]() |
![]() |
![]() |
![]() |
![]() |
![]() |
![]() |
![]() |
Hỗ trợ - Hướng dẫn
-
024.7300.7989
-
1800.6947
(Thời gian hỗ trợ từ 7h đến 22h)
Email: lienhe@tuyensinh247.com






.



![log_{6}(x - \sqrt{x^{2}-1})\left [ -log_{6}(x - \sqrt{x^{2}-1})-log_{6}2.log_{6}3 \right ]=0](http://images.tuyensinh247.com/picture/learning/exam/2014/1010/v59608_991438_10.gif)





=> x = 1 (t / m )





(t /m )










