Cho hàm số \(f\left( x \right) = {x^3} + a{x^2} + bx + c\). Nếu phương trình \(f\left( x \right) = 0\) có ba
Cho hàm số \(f\left( x \right) = {x^3} + a{x^2} + bx + c\). Nếu phương trình \(f\left( x \right) = 0\) có ba nghiệm thực phân biệt thì phương trình \(2f\left( x \right) \cdot f''\left( x \right) = {\left[ {f'\left( x \right)} \right]^2}\) có bao nhiêu nghiệm thực?
Đáp án đúng là: C
Quảng cáo
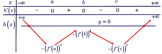
\(h\left( x \right) = 2f\left( x \right).f''\left( x \right) - {\left( {f'\left( x \right)} \right)^2}\). Tính h’(x) và lập BBT
Đáp án cần chọn là: C
>> 2K9 Chú ý! Lộ Trình Sun 2027 - 1 lộ trình ôn đa kỳ thi (TN THPT, ĐGNL (Hà Nội/ Hồ Chí Minh), ĐGNL Sư Phạm, ĐGTD, ĐGNL Bộ Công an, ĐGNL Bộ Quốc phòngTD - Click xem ngay) tại Tuyensinh247.com. Cập nhật bám sát bộ SGK mới, Thầy Cô giáo giỏi, 3 bước chi tiết: Nền tảng lớp 12; Luyện thi chuyên sâu; Luyện đề đủ dạng đáp ứng mọi kì thi.
![]() |
![]() |
![]() |
![]() |
![]() |
![]() |
![]() |
![]() |
Hỗ trợ - Hướng dẫn
-
024.7300.7989
-
1800.6947
(Thời gian hỗ trợ từ 7h đến 22h)
Email: lienhe@tuyensinh247.com














