Một vận động viên đang tham gia trượt ván, anh ta bắt đầu chuyển động theo vận
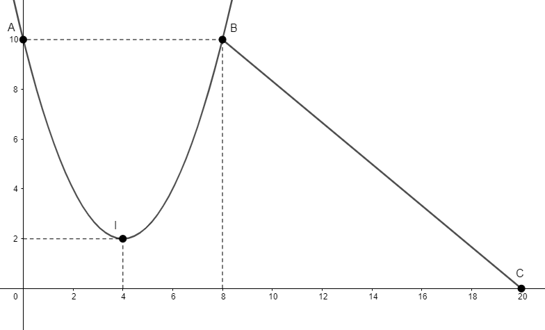
Một vận động viên đang tham gia trượt ván, anh ta bắt đầu chuyển động theo vận tốc \({v_1}(t)(m/s)\) có dạng đường parabol có đỉnh là \(I(4;2)\). Sau 8 giây, vận động viên di chuyển với vận tốc \({v_2}(t)\) có dạng đường thẳng. Vận động viên trượt được 20 giây thì dừng lại.

| Đúng | Sai | |
|---|---|---|
| a) Hàm biểu diễn vận tốc của vận động viên trong 8 giây đầu tiên là \({v_1}(t) = \dfrac{1}{2}{t^2} - 4t + 10.\) |
||
| b) Quãng đường vận động viên trượt được trong 8 giây đầu là \(\dfrac{{80}}{3}\)m. | ||
| c) Hàm biểu diễn vận tốc của vận động viên sau giây thứ 8 là \({v_2}(t) = \dfrac{5}{6}t + \dfrac{{50}}{3}\) | ||
| d) Tổng quãng đường mà vận động viên trượt được trong 20 giây là \(\dfrac{{292}}{3}.\) |
Đáp án đúng là: Đ; S; S; S
Quảng cáo
a) Xác định hàm số bậc hai có đồ thị đi qua điểm \(A(0;10)\) và có đỉnh \(I(4;2)\).
b) Ứng dụng tích phân tính quãng đường: \({S_1} = \int\limits_0^8 {v_1(t)}dt\).
c) Xác định phương trình đường thẳng đi qua hai điểm \(B(8;10)\) và \(C(20;0)\).
d) Tính \({S_2} = \int\limits_8^{20} {v_2(t)}dt\). Tổng quãng đường là \(S=S_1+S_2\).
Đáp án cần chọn là: Đ; S; S; S
>> 2K9 Chú ý! Lộ Trình Sun 2027 - 1 lộ trình ôn đa kỳ thi (TN THPT, ĐGNL (Hà Nội/ Hồ Chí Minh), ĐGNL Sư Phạm, ĐGTD, ĐGNL Bộ Công an, ĐGNL Bộ Quốc phòngTD - Click xem ngay) tại Tuyensinh247.com. Cập nhật bám sát bộ SGK mới, Thầy Cô giáo giỏi, 3 bước chi tiết: Nền tảng lớp 12; Luyện thi chuyên sâu; Luyện đề đủ dạng đáp ứng mọi kì thi.
![]() |
![]() |
![]() |
![]() |
![]() |
![]() |
![]() |
![]() |
Hỗ trợ - Hướng dẫn
-
024.7300.7989
-
1800.6947
(Thời gian hỗ trợ từ 7h đến 22h)
Email: lienhe@tuyensinh247.com












