Hai con lắc đơn có chiều dài \({l_1} = 100\,\,cm\) và \({l_2}\) (với \({l_2} < {l_1}\)) được treo
Hai con lắc đơn có chiều dài \({l_1} = 100\,\,cm\) và \({l_2}\) (với \({l_2} < {l_1}\)) được treo tại cùng một nơi có \(g = 10\,\,m/{s^2}\). Bỏ qua lực cản không khí, lấy \({\pi ^2} = 10\). Ban đầu, từ vị trí cân bằng đồng thời truyền cho hai quả cầu vận tốc nằm ngang, cùng chiều để chúng dao động điều hòa trong hai mặt phẳng song song với nhau. Hình vẽ bên là đồ thị biểu diễn sự phụ thuộc của li độ góc của mỗi con lắc theo thời gian. Biết \({t_2} - {t_1} = \dfrac{8}{9}\,\,s\). Không kể lúc truyền vận tốc, tại thời điểm mà hai dây treo song song với nhau lần thứ 2023 thì tốc độ của con lắc có chiều dài \({l_2}\) là

Đáp án đúng là: D
Quảng cáo
Viết phương trình li độ góc của hai con lắc
Hai dây treo ở vị trí song song với nhau khi \({\alpha _1} = {\alpha _2}\)
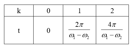
Biện luận theo họ nghiệm suy ra giá trị t1, t2 trên đồ thị.
Để trạng thái hai dây treo song song lặp lại thì \(\Delta t = {n_1}{T_1} = {n_2}{T_2}\)
Viết phương trình vận tốc của con lắc thứ hai, thay t vào tính được tốc độ.
Đáp án cần chọn là: D
>> 2K9 Chú ý! Lộ Trình Sun 2027 - 1 lộ trình ôn đa kỳ thi (TN THPT, ĐGNL (Hà Nội/ Hồ Chí Minh), ĐGNL Sư Phạm, ĐGTD, ĐGNL Bộ Công an, ĐGNL Bộ Quốc phòngTD - Click xem ngay) tại Tuyensinh247.com. Cập nhật bám sát bộ SGK mới, Thầy Cô giáo giỏi, 3 bước chi tiết: Nền tảng lớp 12; Luyện thi chuyên sâu; Luyện đề đủ dạng đáp ứng mọi kì thi.
![]() |
![]() |
![]() |
![]() |
![]() |
![]() |
![]() |
![]() |
Hỗ trợ - Hướng dẫn
-
024.7300.7989
-
1800.6947
(Thời gian hỗ trợ từ 7h đến 22h)
Email: lienhe@tuyensinh247.com














