Số giá trị nguyên của tham số m để hàm số \(y = \left| {{x^3} - m{x^2} + 12x + 2m} \right|\) đồng
Số giá trị nguyên của tham số m để hàm số \(y = \left| {{x^3} - m{x^2} + 12x + 2m} \right|\) đồng biến trên khoảng \(\left( {1; + \infty } \right)\) là:
Đáp án đúng là: C
Quảng cáo
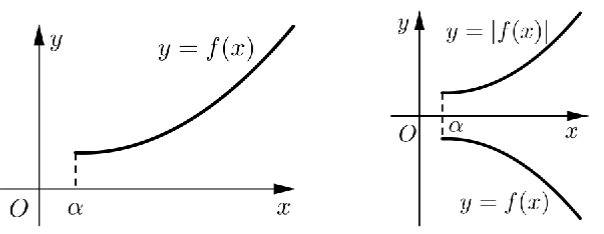
Hàm số \(y = \left| {f\left( x \right)} \right|\) đồng biến trên \(\left( {a; + \infty } \right)\) khi và chỉ khi
TH1: \(\left\{ \begin{array}{l}y'\left( a \right) \ge 0\,\,\forall x \in \left( {a; + \infty } \right)\\y\left( a \right) \ge 0\end{array} \right.\)
TH2: \(\left\{ \begin{array}{l}y'\left( a \right) \le 0\,\,\forall x \in \left( {a; + \infty } \right)\\y\left( a \right) \le 0\end{array} \right.\)

Đáp án cần chọn là: C
>> 2K9 Chú ý! Lộ Trình Sun 2027 - 1 lộ trình ôn đa kỳ thi (TN THPT, ĐGNL (Hà Nội/ Hồ Chí Minh), ĐGNL Sư Phạm, ĐGTD, ĐGNL Bộ Công an, ĐGNL Bộ Quốc phòngTD - Click xem ngay) tại Tuyensinh247.com. Cập nhật bám sát bộ SGK mới, Thầy Cô giáo giỏi, 3 bước chi tiết: Nền tảng lớp 12; Luyện thi chuyên sâu; Luyện đề đủ dạng đáp ứng mọi kì thi.
![]() |
![]() |
![]() |
![]() |
![]() |
![]() |
![]() |
![]() |
Hỗ trợ - Hướng dẫn
-
024.7300.7989
-
1800.6947
(Thời gian hỗ trợ từ 7h đến 22h)
Email: lienhe@tuyensinh247.com












