Trong hiện tượng giao thoa sóng trên mặt nước, với hai nguồn A, B dao động cùng pha cùng tần
Trong hiện tượng giao thoa sóng trên mặt nước, với hai nguồn A, B dao động cùng pha cùng tần số. Trên đoạn thẳng nối hai nguồn, khoảng cách giữa hai cực đại giao thoa liên tiếp là 1,1cm. Gọi O là trung điểm của AB. Gọi Ax là nửa đường thẳng đi qua A và vuông góc với AB. Trên Ax có điểm I thỏa mãn góc \(\widehat {OIB}\) lớn nhất. Lấy M và N nằm trên Ax sao cho AM = 40cm, AN < AM và \(\widehat {OMB} = \widehat {ONB}\). Cho \(AI = 10\sqrt 2 \)cm. Số cực đại giao thoa trên đoạn MN là
Đáp án đúng là: B
Quảng cáo
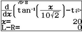
Xác định giá trị lớn nhất của \(\widehat {OIB}\)bằng cách sử dụng đạo hàm.
Đáp án cần chọn là: B
>> 2K9 Chú ý! Lộ Trình Sun 2027 - 1 lộ trình ôn đa kỳ thi (TN THPT, ĐGNL (Hà Nội/ Hồ Chí Minh), ĐGNL Sư Phạm, ĐGTD, ĐGNL Bộ Công an, ĐGNL Bộ Quốc phòngTD - Click xem ngay) tại Tuyensinh247.com. Cập nhật bám sát bộ SGK mới, Thầy Cô giáo giỏi, 3 bước chi tiết: Nền tảng lớp 12; Luyện thi chuyên sâu; Luyện đề đủ dạng đáp ứng mọi kì thi.
![]() |
![]() |
![]() |
![]() |
![]() |
![]() |
![]() |
![]() |
Hỗ trợ - Hướng dẫn
-
024.7300.7989
-
1800.6947
(Thời gian hỗ trợ từ 7h đến 22h)
Email: lienhe@tuyensinh247.com














