Bạn Nam tham gia cuộc thi giải một mật thư. Theo quy tắc của cuộc thi, người chơi cần chon ra
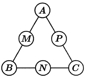
Bạn Nam tham gia cuộc thi giải một mật thư. Theo quy tắc của cuộc thi, người chơi cần chon ra sáu số từ tập $S = \left\{ {31;32;33;34;35;36;37;38;39} \right\}$ và xếp mỗi số vào đúng một vị trí trong sáu vị trí $A,B,C,M,N,P$ như hình bên sao cho mỗi vị trí chi được xếp một số. Mật thư sẽ được giải nếu các bộ ba số xuất hiện ở những bộ ba vị trí $\left( {A,M,B} \right);\left( {B,N,C} \right);\left( {C,P,A} \right)$ tạo thành các cấp số cộng theo thứ tự đó. Bạn Nam chọn ngẫu nhiên sáu số trong tập $S$ và xếp ngẫu nhiên vào các vị trí được yêu cầu. Gọi xác suất để bạn Nam giải được mật thư ở lần chọn và xếp đó là $a$. Giá trị của $\dfrac{3}{a}$ bằng bao nhiêu?

Đáp án đúng là:
Quảng cáo
Từ các bộ cấp số cộng lập luận A, B, C cùng chẵn hoặc cùng lẻ và không được là một cấp số cộng
Từ các điều kiện trên tìm số cách sắp xếp của A, B, C.
Đáp án cần điền là: 3780
>> 2K9 Chú ý! Lộ Trình Sun 2027 - 1 lộ trình ôn đa kỳ thi (TN THPT, ĐGNL (Hà Nội/ Hồ Chí Minh), ĐGNL Sư Phạm, ĐGTD, ĐGNL Bộ Công an, ĐGNL Bộ Quốc phòngTD - Click xem ngay) tại Tuyensinh247.com. Cập nhật bám sát bộ SGK mới, Thầy Cô giáo giỏi, 3 bước chi tiết: Nền tảng lớp 12; Luyện thi chuyên sâu; Luyện đề đủ dạng đáp ứng mọi kì thi.
![]() |
![]() |
![]() |
![]() |
![]() |
![]() |
![]() |
![]() |
Hỗ trợ - Hướng dẫn
-
024.7300.7989
-
1800.6947
(Thời gian hỗ trợ từ 7h đến 22h)
Email: lienhe@tuyensinh247.com












