Cho hàm số \(y = f\left( x \right)\) có đạo hàm xác định trên khoảng \(\left[ {0; + \infty } \right)\)
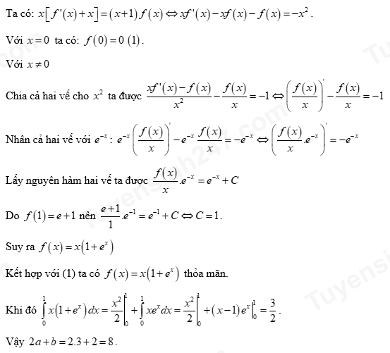
Cho hàm số \(y = f\left( x \right)\) có đạo hàm xác định trên khoảng \(\left[ {0; + \infty } \right)\) và thỏa mãn \(x\left[ {f'\left( x \right) + x} \right] = \left( {x + 1} \right)f\left( x \right);\,\,f\left( 1 \right) = e + 1\). Biết rằng \(\int\limits_0^1 {f\left( x \right)dx} = \dfrac{a}{b}\), trong đó \(a,\,\,b\) là những số nguyên dương và phân số \(\dfrac{a}{b}\) tối giản. Khi đó giá trị của \(2a + b\) tương ứng bằng
Đáp án đúng là: D
Quảng cáo
- Đưa giả thiết về dạng \(k\left( x \right).f\left( x \right) + f'\left( x \right) = h\left( x \right)\).
- Nhân cả 2 vế với \({e^{\int {k\left( x \right)dx} }}\)
- Lấy tích phân hai vế ta tìm được hàm số \(f\left( x \right)\).
Đáp án cần chọn là: D
>> 2K8 Chú ý! Lộ Trình Sun 2026 - 3IN1 - 1 lộ trình ôn 3 kì thi (Luyện thi 26+ TN THPT, 90+ ĐGNL HN, 900+ ĐGNL HCM, 70+ ĐGTD - Click xem ngay) tại Tuyensinh247.com.Đầy đủ theo 3 đầu sách, Thầy Cô giáo giỏi, luyện thi theo 3 giai đoạn: Nền tảng lớp 12, Luyện thi chuyên sâu, Luyện đề đủ dạng đáp ứng mọi kì thi.
![]() |
![]() |
![]() |
![]() |
![]() |
![]() |
![]() |
![]() |
Hỗ trợ - Hướng dẫn
-
024.7300.7989
-
1800.6947
(Thời gian hỗ trợ từ 7h đến 22h)
Email: lienhe@tuyensinh247.com













